全国服务热线18261172629
10000+现货供应,提供COA、NMR、MS、HPLC以满足申报要求
专业技术团队,十余年定制合成及制备分离经验
中间体商业化路线筛选小试研究,中试放大,车间生产
CP、EP、USP、BP、JP等官方标准品配套赠送
上万杂质现货供应,质量稳定,提供全套图谱

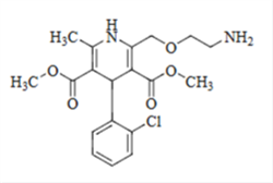
Cas No:111470-99-6

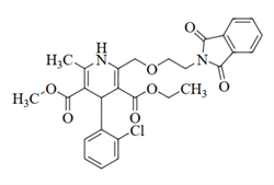
Cas No:721958-72-1

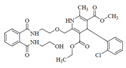
Cas No:43067-01-2

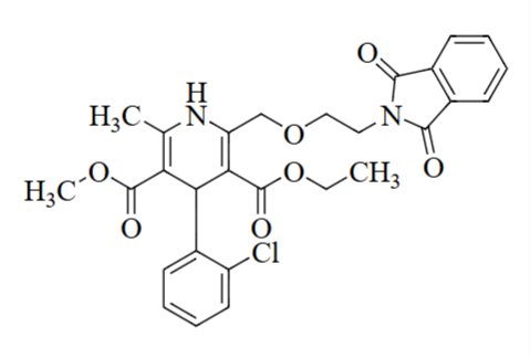
Cas No:N/A

Cas No:140171-65-9

Cas No:140171-66-0

Cas No:88150-62-3

Cas No:318465-73-5

Cas No:3079028-35-3