常州峰海医药科技有限公司 Changzhou Fenghai Pharmaceutical Technology Co., Ltd

全国服务热线18261172629

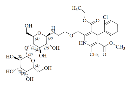
氨氯地平杂质I(氨氯地平N-乳糖苷)

产品类别 氨氯地平系列
产品名称 氨氯地平杂质I(氨氯地平N-乳糖苷)
货号 FH001-23
学名 3-ethyl 5-methyl 4-(2-chlorophenyl)-2-((2-(((2R,3R,4R,5S,6R)-3,4-dihydroxy-6-(hydroxymethyl)-5-(((2S,3R,4S,5R,6R)-3,4,5-trihydroxy- 6-(hydroxymethyl)tetrahydro-2H-pyran-2-yl)oxy)tetrahydro-2H- pyran-2-yl)amino)ethoxy)methyl)-6-methyl-1,4-dihydropyridine-3,5- dicarboxylate
英文名 Amlodipine Impurity I
CAS No. 749864-27-5
分子式

C32H45ClN2O15

分子量 733.16
结构式 氨氯地平杂质I(氨氯地平N-乳糖苷)