常州峰海医药科技有限公司
Changzhou Fenghai Pharmaceutical Technology Co., Ltd
全国服务热线
18261172629
网站首页
关于我们
产品中心
新闻资讯
在线留言
联系我们
ENGLISH
网站首页
/ Home
公司简介
/ About us
产品中心
/ Products
新闻资讯
/ News
联系我们
/ contact us
EN
产品中心
药物杂质对照品
定制合成及制备分离
特色中间体
药物标准品
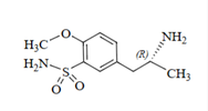
氨氯地平去氯杂质(富马酸盐)
产品类别
氨氯地平
产品名称
氨氯地平去氯杂质(富马酸盐)
货号
FH001-26
英文名
Deschloro Amlodipine Impurity(Fumarate)
CAS No.
88150-52-1
结构式
上一个:
苯磺酸氨氯地平
返回
下一个:
氨氯地平杂质32
常州峰海医药科技有限公司 版权所有(C)2024
网络支持
生意社
化工网
生意宝
著作权声明
备案号:苏ICP备2024140389号
首页
新闻中心
公司简介
产品中心
联系我们