全国服务热线18261172629
产品中心
Cas No:84954-80-3
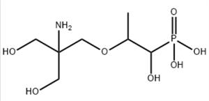
Cas No:1262243-11-7
Cas No:NA
Cas No:23001-39-0, 114252-50-5(Barium salt)
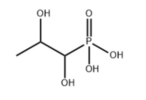
Cas No:1262243-12-8
Cas No:同FH010-04NA(free base)
常州峰海医药科技有限公司 版权所有(C)2024 网络支持 生意社 化工网 生意宝 著作权声明 备案号:苏ICP备2024140389号